

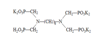
Properties:
HMDTMPA•K6 is soluble in water, it is a good scale inhibitor for calcium sulfate, suitable for use in situation of high pH value and high alkaline. HMDTMPA•K6 can be used for water treatment in boilers and RO membrane treatment.
Specification:
|
items |
index |
|
Appearance |
Colorless to pale yellow transparent liquid |
|
Active component (as acid) % |
21.2-24.6 |
|
Active component (as salt) % |
31.0-36.0 |
|
chloride (as Cl-) % |
4.0 max |
|
Total phosphoric acid (PO43-) % |
16.8-18.8 |
|
Phosphorous acid(as PO33-), % |
2.0 max |
|
Fe ppm |
35 max |
|
Density ( |
1.21-1.31 |
|
PH (1% water solution) |
6.0-8.0 |
Packing and Storage:
Normally 250kg net in drum, IBC, or per customers. Storage for ten month in shady rooms and dry places.