PRODUCT INFORMATION
Product Name
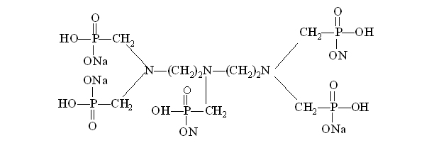
Diethylene Triamine Penta(Methylene Phosphonic Acid) Pentasodium salt(DTPMP•Na5)

CAS No.
68155—78—2

Molecular Formula
C9H23O15N3P5Na5

Structural Formula



PRODUCT DESCRIPTION

Properties:
DTPMPA•Na5 is innocuous, easy to be dissolved in acid solution,and has a perfect chelation ability. DTPMPA•Na5 can also be used as peroxide stabilizer(especially for hydrogen peroxide in the condition of high temperature),chelator in paper making and printing and dyeing, dispersing agent in pigment, stabilizer in oxygen delignification, microelement carryingt agent in fertilizer, additive in concrete. Moreover, DTPMPA•Na5 also has a widely use in paper making, electroplate, metal acid clearning, cosmetic and stabilizer in oxidizing biocide.

Specification:

Items

Index

Appearance

Transparent amber liquid

Solid off-white to yellow powder

Active content (as DTPMPA)%

24.0-26.0

≥58.0

Active content (as DTPMPA Na5)%

28.5-31.0

≥69.1

Phosphoric acid  (asPO43- )%

19.7-21.7

44.0-46.0

Chloride (as Cl-) %

5.0 max

10.0max

pH (1% solution)

6.0-8.0

6.0-8.0

Density  (20℃)g/cm3

         1.25

-

Usage:
DTPMP•Na5 can be used as peroxide stabilizer, chelating agent in woven & dyeing industry, pigment dispersant, microelement’s carrying agent in fertilizer and concrete modifier. In addition.
DTPMP.Na5 is used in papermaking, electroplating, acid cleaning and cosmetics.

Packing and Storage:
DTPMP.Na5 liquid:  250kg in drum, IBC, or per customers.
DTPMP.Na5 solid: in lined with polyethylene plastic bags, 50L barrel, or per customers. Stored in a cool dry room, for ten Months.

Safety Protection:
Avoid contact with eye and skin, once contacted, flush with water immediately.